Алматы қаласы Білім басқармасының
"№20 жалпы білім беретін мектеп"
коммуналдық мемлекеттік мекемесі
Қабылдау бөлімі:
+7(727) 393-26-02
Есепші бөлімі:
+7(727) 385-60-58
eOtinish.kz
Нашар көрушілер
нұсқасы
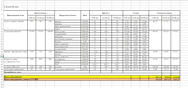
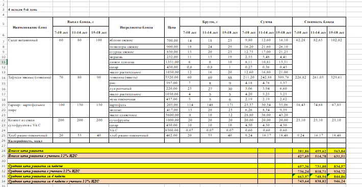
» » » Бюджет қаражаты есебінен орта білім беру ұйымдарында оқушыларды тегін тамақтандыруды ұйымдастыруға арналған төрт апталық тағамдар мәзірі, қыс-көктем
21
ақпан
2024

Бюджет қаражаты есебінен орта білім беру ұйымдарында оқушыларды тегін тамақтандыруды ұйымдастыруға арналған төрт апталық тағамдар мәзірі, қыс-көктем